Data for Multisite Field Evaluation of Oil Accumulation and Agronomic Performance in Grain and Sweet Sorghums Engineered for Lipid Hyperaccumulation
Themes: Feedstock Production, Sustainability
Keywords: Agronomy, Field Data, Oil Sorghum, Sorghum, Sustainable Aviation Fuel, Vegetative Oils
Citation
Chen, Y., Park, K., Jang, C., Lee, J.W., Wang, M., Kim, H., Quach, T., Guo, M., Sonawane, B.V., Gosa, S.C., Clemente, T.E., Leakey, A.D.B., Cahoon, E.B., Lee, D.K. March 25, 2026. Data for: “Multisite Field Evaluation of Oil Accumulation and Agronomic Performance in Grain and Sweet Sorghums Engineered for Lipid Hyperaccumulation.” University of Illinois Urbana-Champaign. DOI: 10.13012/B2IDB-8639593_V1.
Overview

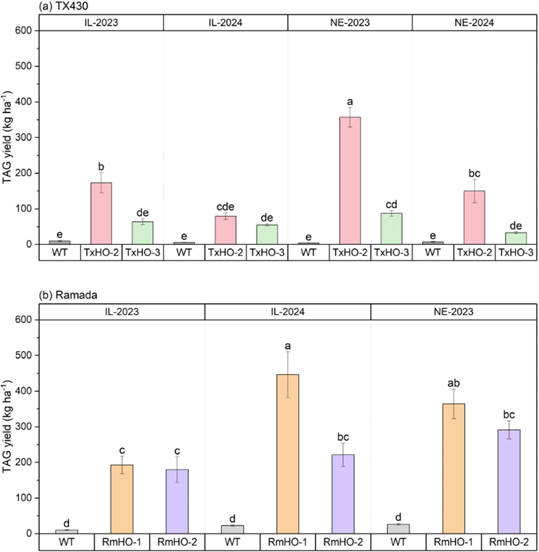
Oil sorghum (OS) has been developed by engineering grain (TX430) and sweet (Ramada) genetic backgrounds to accumulate triacylglycerols (TAG) in vegetative tissues as an energy-dense feedstock for sustainable aviation fuel (SAF) and other biofuels. This study evaluated two TX430 OS lines (TxHO-2, TxHO-3) and two Ramada OS lines (RmHO-1, RmHO-2) alongside wild-type (WT) lines in NE and IL over 2 years (2023–2024) to quantify genotype × environment effects on agronomic performance and TAG accumulation. Across four environments, TX430 OS lines showed average TAG concentrations of 15.0 g kg−1 in leaves and 12.8 g kg−1 in stems, approximately 19-fold higher than WT. Ramada OS lines accumulated 26.1 g kg−1 in leaves and 12.3 g kg−1 in stems, approximately 25-fold and 13-fold increases over WT, respectively. OS lines in TX430 exhibited an 18% reduction in biomass (8.4 vs. 9.9 Mg ha−1 for WT), while Ramada OS lines had similar WT biomass (18.3 vs. 19.9 Mg ha−1 for WT). Among TX430 OS lines, TxHO-2 achieved the highest TAG yield (190 kg ha−1), while RmHO-1 led the Ramada lines (335 kg ha−1) due to higher biomass and similar TAG concentration. Enhanced TAG accumulation increased N, P, and K removal in TX430 lines but not in Ramada lines. Structural carbohydrate and ash concentration were unaffected. Overall, results confirm vegetative lipid accumulation as a viable strategy for high-biomass sorghum, supporting its potential as a dual-purpose feedstock for SAF. Future work should focus on minimizing biomass yield penalties and improving nutrient use efficiency in oil sorghum systems.
Data
Illinois Data Bank: TAG/TFA concentrations, fiber compositions, dry biomass yield, monthly precipitation/temperature data, ANOVA results